| 索引号: |
003092166/202510-00059 |
信息分类: |
自愿退出 |
| 内容分类: |
|
发文日期: |
2025-10-10 |
| 发布机构: |
区住建局(地震局) |
生成日期: |
2025-10-10 |
| 生效日期: |
有效 |
废止时间: |
暂无 |
| 文 号: |
|
关键词: |
|
| 内容概述: |
|
| 索引号: |
003092166/202510-00059 |
| 信息分类: |
自愿退出 |
| 内容分类: |
|
| 发文日期: |
2025-10-10 |
| 发布机构: |
区住建局(地震局) |
| 生成日期: |
2025-10-10 |
| 生效日期: |
|
| 废止时间: |
暂无 |
| 文 号: |
|
| 关键词: |
|
| 内容概述: |
|
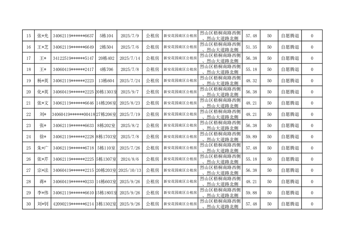
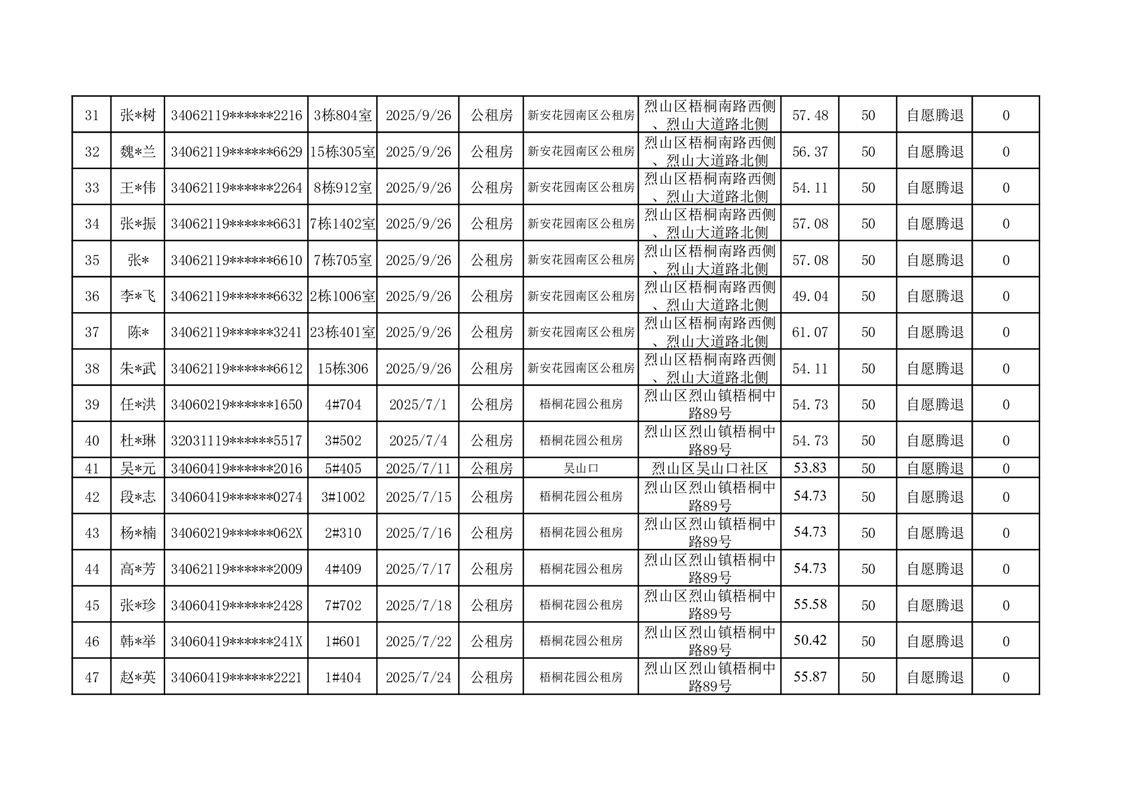
2025年烈山区公租房三季度自愿退出情况